Расчет параметров акустического оформления. Часть 1. Открытое акустическое оформление.
Открытым акустическим оформлением головки называется такое ее оформление, при котором задняя сторона звукоизлучающей поверхности диффузора головки не изолирована акустически от передней. В качестве открытого оформления применяется либо плоский экран (щит), либо ящик, обычно имеющий форму параллелепипеда, с перфорированной задней стенкой.
Открытое акустическое оформление наиболее распространено как в нашей стране, так и за рубежом. Оно попользуется в телевизорах, переносных радиоприемниках всех классов, кассетных магнитофонах, абонентских громкоговорителях, а также в большей части катушечных магнитофонов, стационарных радиоприемников и электрофонов. Можно сказать, что за исключением высококачественной звуковоспроизводящей радиоаппаратуры с выносными АС, вся остальная бытовая звуковоспроизводящая аппаратура имеет открытое акустическое оформление.
Достоинство открытых АС — простота и, кроме того, в них не имеет места повышение резонансной частоты по сравнению с резонансной частотой применяемой головки, а принципиально возможно и понижение этой частоты, что выгодно отличает открытую АС, например, от закрытой. Недостаток открытой системы — сравнительно большие размеры этого оформления, когда требуется воспроизведение низших частот звукового диапазона.
Наиболее простой вид открытого оформления — плоский экран. Даже при сравнительно небольших его размерах воспроизведение низких частот значительно улучшается. Вместе с тем в области средних и особенно высоких частот экран уже не оказывает существенного влияния. Конструктивно экран рекомендуется выполнять в виде толстой доски или фанеры толщиной 10-20 мм, в которой вырезано отверстие, по периметру диффузородержателя головки, куда вставляется головка. Экран выполняется квадратной или прямоугольной формы. Соотношения сторон прямоугольного экрана могут колебаться в довольно широких пределах. Предпочтительное отношение сторон прямоугольного экрана в пределах от 2:1 до 3:1.
Размещать головку рекомендуется в центре прямоугольного экрана. Смещение от центра уменьшает звуковое давление АС и ухудшает ее частотную характеристику. Для квадратных экранов некоторое смещение места установки головки улучшает частотную характеристику, поскольку при симметричном креплении головки на частотной характеристике появляется глубокий провал в области средних частот. На рис.27 показана форма частотной характеристики при смещении головки от центра.
На рис.28 приведена конструкция стандартного акустического экрана, предусмотренная ГОСТ 16122—78 «Громкоговорители. Методы электроакустических испытаний и измерений». С помощью этой конструкции измеряют параметры головок.
Практически конструкции плоского экрана могут выполняться, например, в виде щита, помещаемого в углу комнаты (рис. 29).
Установка щита с головкой в углу комнаты позволяет уменьшить его размеры. Щит в виде треугольника или трапеции подвешивают, например, в углу у потолка. Между верхней кромкой Щита и потолком необходимо оставить широкую щель, а пространство позади щита рекомендуется заполнить звукопоглощающим материалом. Головку необходимо защитить от возможных повреждений и пыли.
Встречаются описания АС, в которых головка вставляется в отверстие, в стене комнаты, т. с. стена является экраном.
 |
| РИС.27. Частотные характеристики головки при ее центральном расположении в прямоугольном экране (1) и при смещении вдоль длинной стороны (2). |
 |
 |
| РИС.28. Стандартный акустический экран для измерения головок прямого излучения (а) и способы крепления головок в экране (б, в). |
РИС.29. Открытое акустическое оформление в виде щита, подвешенного в углу комнаты. |
Принципиально такое конструктивное решение выгодно, но при этом не надо забывать, что звучание АС будет иметь место не только в той комнате, в которой АС предназначена работать, но и в той, куда выходит задняя поверхность головки, что, конечно, не всегда желательно. Если же такое решение возможно, то оно дает заметное улучшение частотной характеристики и качества звучания, особенно на низких частотах.
Определим, каким должен быть размер экрана? Желателен такой экран, который позволил бы на нижней граничной частоте воспроизводимого диапазона получить такой же уровень звукового давления, как и на верхней границе поршневого диапазона f(гр.в) зоны его действия, т. е. выровнять звуковое давление на нижних и средних частотах. Значение f(гр.в) может быть найдено из (27). Выбор нижней граничной частоты зависит от добротности применяемой головки. Ранее отмечалось, что форма частотной характеристики головки при Q<1,93 монотонно возрастает, а при Q>=1,93 на частотной характеристике появляются провал на частоте w(2) и пик на частоте w(1). Добротность головки при помещении ее в плоский щит практически не меняется. Неравномерность частотной характеристики при Q<1,93 и при правильном выборе размеров экрана определяется только спадом в область более низких частот. Поэтому за нижнюю граничную частоту при Q<1,93 выбирают резонансную частоту головки w(0). При Q>=1,93 за нижнюю граничную частоту обычно выбирают частоту пика w(1) частотной характеристики головки (рис. 23, кривая 2) и неравномерность частотной характеристики в этом случае определяется провалом на частоте w(2). Однако при этом несколько сужается расчетный диапазон воспроизводимых частот по сравнению с его значением при Q<1,93.
Для устранения этого недостатка авторами предложен другой способ выбора нижней граничной частоты воспроизводимого диапазона, позволяющий снизить ее значение. Суть его заключается в том, что нижняя граничная частота выбирается на частоте w
 |
 |
| РИС.30. Типичная частотная характеристика открытого акустического оформления в области низких частот при Q>1,93. |
РИС.31. Зависимость ф(Q) от Q. |
 |
| РИС.32. Зависимость f(гр.н) от Q. |
Площадь экрана, исходя из обеспечения наиболее равномерной характеристики, может быть определена как
(28)
где ф<2 — некоторая функция от Q при 1,93 < Q < 2,5 приближенно равна Q; f(гр.н) - определяется по рис.32. При Q< 1,93 выражение (28) имеет вид
(29)
Обычно экраны выполняют меньших размеров, чем рекомендовано в (28) и (29). Тогда на нижней граничной частоте следует ожидать спада частотной характеристики на
(30)
где S — вычисленная по (28) и (29) площадь экрана; S' — фактическая площадь экрана.
Пример расчета экрана. Пусть требуется рассчитать размеры экрана для головки 0.5ГД-37 со следующими параметрами: f0=315Гц; d=0,08 м; Q=2,3; m0=l,2-10-3 кГ, если допустимый спад частотной характеристики на f (гр.н) равен 6 дБ. (Величина m0 будет использована в следующем примере.)
1. Из (27) находим: f(гр.в) = (1,4*343) / (3,14*0,08) = 1920 Гц.
2. По рис.32. определяем: f(гр.н) = 315 Гц.
3. ф(Q)=Q = 2,3.
4. Площадь экрана по (28): S = 0,15*3432/3152*2,32=0,034 м2.
5. При допустимом спаде частотной характеристики на нижней граничной частоте, равном 6 дБ, из (30) находим: S' = 0,017 м2.
6. Выбираем размеры экрана равными (0,17x0,1) м2.
Открытый корпус. Самый распространенный вид открытого акустического оформления - ящик, у которого задняя стенка имеет ряд сквозных отверстий или же полностью отсутствует. Головка устанавливается обычно на передней панели ящика. Его внутренний объем, как правило, используется для размещения деталей электрической схемы, например радиоприемника. Выносные АС в виде открытых корпусов применяются реже. Акустическое действие открытого оформления подобно действию экрана. Наибольшее влияние на частотную характеристику акустической системы с открытым оформлением оказывает передняя стенка, т. е. та, на которой крепится головка. Вопреки довольно распространенному мнению боковые стенки открытого оформления влияют на характеристику открытого оформления мало. Поэтому не рекомендуется делать открытое оформление глубоким, а надо стараться по возможности увеличивать переднюю панель оформления. На рис. 33 показаны различные частотные характеристики АС с открытым оформлением в зависимости от его глубины. Обычно открытое оформление выполняют такой глубины, чтобы головка помещалась в нем с некоторым технологическим запасом (20% от глубины головки). При этом «вклад» боковых стенок в суммарное звуковое давление открытого корпуса составляет 1—3 дБ.
 |
 |
| РИС.33. Частотная характеристика головки в открытом оформлении с разной глубиной h. |
РИС.34. Частотные характеристики головки в открытом оформлении с задней стенкой, выполненной из: 2,3 — слои поролона толщиной соответственно S и 15 мм; 4 — электрокартона толщиной 3 мм; 5 — электрокартона (3 мм) со слоем поролона (20 мм) (1 — ящик без задней стенки). |
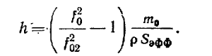
Однако авторами было установлено, что наличие боковых стенок создает эффект снижения резонансной частоты открытого оформления с увеличением его глубины, которое происходит за счет присоединения части массы воздуха внутри оформления к массе подвижной системы головки. Резонансная частота в этом случае
(31)
а глубина оформления для получения нужной резонансной частоты

Конечно, если сделать оформление очень глубоким, то оно. может действовать как труба, резонирующая на ряде частот, тем более низких, чем больше длина трубы. Естественно, что это нежелательно, поскольку такие резонансы являются причиной появления пиков и провалов на частотной характеристике АС.
Размеры передней панели, как уже говорилось, желательно иметь как можно больше. Ограничением здесь являются только соображения удобства размещения и пользования. Что касается места установки головки на передней панели, то рекомендации тут такие же, как при плоском экране.
Площадь передней панели открытого акустического оформления с учетом влияния глубины оформления h может быть найдена как
(32)
где ф(Q) и f(гр.н) определяются гак же, как в (28), однако необходимо учитывать, что вместо частоты f(0) необходимо подставлять частоту f(02), определяемую из (31).
При Q<1,93 выражение (32) упрощается
(33)
где f(02) определяется из (31).
Имеется еще один элемент открытого оформления, который. может влиять на работу открытой АС. Это задняя стенка оформления, которая служит для защиты элементов схемы радиоустройства. Она должна быть по крайней мере такой, чтобы не ухудшать акустические параметры системы. На рис.34 приведены частотные характеристики АС с открытыми корпусами с задними стенками, выполненными из различных материалов (с разной их толщиной). Как видно, материал и толщина задней стенки сильно влияют на частотную характеристику открытой системы. Акустические параметры открытой АС зависят также и от размеров и числа перфораций (отверстий) в задней стенке.
 |
| РИС. 35. Частотные характеристики головки в открытом оформлении с различным числом отверстий (n) диаметром 20 мм в задней стенке. |
На рис. 35 приведены частотные характеристики АС в ящиках с различным числом перфораций в поверхности задних стенок. Для оценки влияния перфораций вводится термин — степень перфорированности задней стенки, А(0)/А — это отношение общей площади равномерно распределенных отверстий A(0) к площади задней стенки A. Степень перфорированности задней стенки должна составлять не менее 0,1 для оформлений с объемом оформления 5 л и 0,15—0,20 для оформлений с объемом менее 5 л.
Конфигурация оформления оказывает большое влияние на форму частотной характеристики на средних частотах, вызывая появление многочисленных пиков и провалов прн неудачной конфигурации. Это хорошо видно из рассмотрения графиков на рис. 36, где приведены частотные характеристики для разных конфигураций оформления: сферического (шара), куба, усеченной пирамиды, параллелепипеда. Наиболее благоприятная форма — сфера. Приведенные характеристики следует иметь в виду при выборе конфигурации оформления, хотя из конструктивных соображений редко можно применить благоприятную форму из числа приведенных на рис. 36, за исключением параллелепипеда. Из эстетических соображений размеры оформления в виде параллелепипеда часто выбирают так, чтобы размеры лицевой панели (длина и ширина) и глубины относились как 2/sqrt(2/1).
Пример расчета. Требуется рассчитать размеры передней панели открытого оформления глубиной h = 80 мм для головки 0.5ГД-37 (см. предыдущий пример).
 |
| РИС. 36. Частотные характеристики головки в ящиках различной формы (точка обозначает местоположение головки). |
1. Из (27) находим граничную частоту: f (гр.в) = 1,4*343 / (3,14*0,08) =1920 Гц.
2. По (31) определяем резонансную частоту головки в открытом оформлении с учетом его глубины:
(33)
3. По графику на рис.32 находим нижнюю граничную частоту воспроизводимого диапазона при Q = 2,3; f (гр.н) = 260 Гц.
4. По графику на рис.33 находим разность уровней пик — провал: N = 1,0 дБ.
5. ф(Q) = Q = 2,3.
6. По (32) определяем площадь передней панели оформления: S = 0,125*3432 / (2602*2,32) = 0,041 м2.
При спаде на частоте f (гр.н), равном 6 дБ, по (30) находим, что S' = 0,02 м*.
7. Выбираем размер передней панели равным 0,17X0,12 м2.
Информация взята из книги Бытовые Акустические Системы, авторы В.К.Иофе и М.В.Лизунков
© www.Auto-HiFi.ru - При перепечатывании материалов сайта ссылка на источник обязательна.
|

Мы в Telegram
Мы в ВКонтакте
Полная шумоизоляция Вашего автомобиля по специальной цене! При покупке акустики для штатных мест Mercedes - установка на интересных условиях! При покупке акустики для штатных мест BMW - установка на интересных условиях! Шумовиброизоляция четырех дверей в три слоя под ключ по интересной цене! Каждому покупателю акустики размера 16,5 см. дороже 10000 рублей проставочные кольца для установки в подарок! Каждый покупатель получает в подарок компакт-диск с клёвыми миксами от Mr. DJ Monj! Каждому покупателю фирменные рамки «Auto-HiFi» для государственных номерных знаков в подарок!
2026-04-06 Акустика Ground Zero: Ground Zero GZCM 6.5N-PROC, Ground Zero GZCM 8.0N-PROC. 2026-04-05 Сабвуферы Dynamic State: Dynamic State FORCE LIGHT SW30D1-CC2, Dynamic State FORCE LIGHT SW30D1-PC2, Dynamic State FORCE LIGHT SW30D2, Dynamic State FORCE LIGHT SW30D2-CC2, Dynamic State FORCE LIGHT SW40D1, Dynamic State FORCE LIGHT SW40D1-CC2, Dynamic State FORCE LIGHT SW40D1-PC2, Dynamic State FORCE LIGHT SW40D2, Dynamic State FORCE LIGHT SW46D1, Dynamic State FORCE LIGHT SW46D1-CC2, Dynamic State FORCE LIGHT SW46D1-PC2, Dynamic State FORCE LIGHT SW46D2, Dynamic State FORCE SW32D1. 2026-04-04 Акустика Black Hydra: Black Hydra Delta 413X, Black Hydra Delta 5713X, Black Hydra Delta 87X, Black Hydra Gamma 525X, Black Hydra Gamma 6925X. 2026-04-03 Магнитола Prology CMD-410. 2026-04-02 Акустика Focal: Focal Slatefiber 165 SF, Focal Slatefiber 165 SF3, Focal Slatefiber 200 SF, Focal Slatefiber 65 SF, Focal Slatefiber C 165 SF. 2026-04-02 Сабвуфер Focal Slatefiber Sub 20 SF.
Дилерская конференция Audiotec Fischer 2025 в Санкт-Петербурге Финал автозвуковых соревнований EMMA 2025 в Санкт-Петербург Финал EMMA 2024 Фоторепортаж с этапа автозвуковых соревнований EMMA в Санкт-Петербурге 22 июня 2024 года Фоторепортаж с этапа EMMA в Твери 1 июня 2024 года
2-канальный усилитель мощности Hellion HAM 1000.2D Optical 4-канальный усилитель мощности Hellion HAM 150.4D Финал EMMA 2025 в Санкт Петербурге ESQL часть 1 Финал EMMA 2025 в Санкт Петербурге ESQL часть 2 Финал EMMA 2025 в Санкт Петербурге ESQL часть 3 Финал EMMA 2025 в Санкт Петербурге ESQL часть 4 Финал EMMA 2025 в Санкт Петербурге ESQL часть 5 Финал EMMA 2025 в Санкт Петербурге ESQL часть 6
Всем большой привет! Есть ли кто-нибудь, кто слушал в одной системе Helix dsp pro mk3 и madbit ultra se4? Почему-то нет ни одного прямог . . . . . Добрый день. Хотел бы спросить у вас совет в виду вашего опыта в теме авто звука. Собираю систему в авто. Основа это helix p six ultimtate . . . . . Здравствуйте любители автозвука.акустику взял BLAM live
Посоветуйте Helix V TWELVE DSP MK2 или Goldhorn DSPA 1012 Plus??? . . . . . Всем здравствуйте!
Автомобиль минивэн honda stepwgn. Изначально хотел просто заменить штатные динамики, запитав их от ШГУ. Прочитав тут с . . . . . Поставил себе фронт поканально Focal K2 Power ES 165 K2E и match up6dsp. Посоветуйте срез по НЧ и ВЧ. Думаю Сделать миды HPF: ~60–70 Hz L . . . . . Подскажите на какой частоте и каким порядком режет твиттеры штатный кроссовер из комплекта Focal Performance PS 165 FE?
Мидбас режется . . . . . Доброго дня. Подскажите, есть у кого опыт использования сабового звена Best Balance C10 в ящике с ФИ ? К чему спрашиваю. На данный момент . . . . . Всем привет, хотелось бы узнать мнение по установке двух 10 сабов вместо одного 12, с целью поднятия уровня громкости без потери скорости, . . . . .
Сабвуфер Audio System M 12 → Сабвуфер шикарен
В закрытым ящиком нет слов.
Не каких корпусов с ФИ,только на . . . . . Автомагнитола Prology DVS-1135 → Ну нормальный автомагнитафон, жаль нету Bluetooth . . . . . Усилитель Eton Mini 300.2 → На миды самый оптимальный вариант. Цена качество. Сравнивал с eton ma2, на слух . . . . . Сабвуфер Gladen RS 12 → Говорят пословицу одну, сшили по мне!
Так вот сделали его как по мне,
НЧ очень . . . . . Сабвуфер Gladen RS-X 08 → Для объемного ФИ или ЗЯ,но в корпусе с ФИ понятное дело лучше, шустрый малый, пр . . . . . Усилитель Ural ЦСП 16 12.80 → Отличный процеусь по соотношение цена/ качество /мощность / количество каналов.
. . . . . Сабвуфер Kicx Sound Civilization Q250BPA → Пушка, шумка обязательно полная, провода медь, мягкий глубокий басс, все были уд . . . . . Автомагнитола Mystery MMD-980 → Магнитола , досталась нам не новая. Сама неплохая, только нам она досталась со . . . . .
Усилитель Blaupunkt GTA 475 в Haval H3 Автомагнитола JVC KW-R930BT в Toyota Caldina II Сабвуфер Alpine SWG-1044 в Haval H3 Усилитель Ural BV 1.800 в Haval H3 Усилитель Hellion HAM8.100DSP в Audi Q5
|